La supraconductivité à température ambiante ? Attendez... |
————— 16 Août 2018 à 14h06 —— 16916 vues
La supraconductivité à température ambiante ? Attendez... |
————— 16 Août 2018 à 14h06 —— 16916 vues
Pouvoir faire circuler du courant sans perte (et donc sans chauffe), voilà le cheval de guerre de bon nombre de chercheurs en physique. Nommée supraconductivité, le champ d'application de ce saint Graal dépasserait largement la simple microélectronique, car il deviendrait - entres autres - possible de faire léviter des objets via un champ magnétique, beaucoup plus aisément qu'avec les technologies actuelles. Si le phénomène est connu et observé, il faut au mieux une température de -193 degrés Celsius pour l'observer, de quoi vous refroidir !
Vous imaginez donc que lorsqu'une équipe de chercheurs de l'université de l'Indian Institude of Science (Bangalore) affirme avoir observé des comportements supraconducteurs à température ambiante dans des nanoparticules à base d'or et d'argent ; le texte fait grand bruit. Des chercheurs de la vénérable université du MIT auraient même totalement changés leurs activités pour se pencher sur ces résultats, qui semble fondés et argumentés.
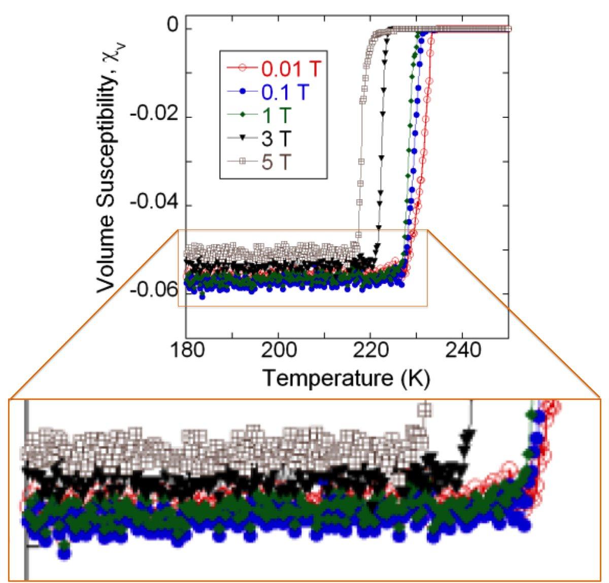
Pourtant, un post-doctorant nommé Brian Skinner, toujours au MIT, a remarqué un fait étrange sur un graphique présent dans l'article : deux courbes présentent exactement les même petites variations, alors que ces dernières, appelées bruits (résultats de l'influence de facteurs externes sur chaque mesure) sont censés être totalement indépendants. Si ce détail vous semble insignifiant, sachez que c'est une observation similaire qui a mené au scandale de Schön en 2002, un scientifique allemand reconnu coupable de fausses découverte dans le domaine des semi-conducteur grâce à des observation du même type : des données corrélées expérimentalement alors qu'elles auraient dû être indépendantes.
![La magie de la loupe, sans loupe Trop beau pour être vrai ? [cliquer pour agrandir]](/images/stories/_divers/supraconductivite-graphique-fraude_t.jpg)
Les courbes vertes et bleues semblent trop semblables, et bien évidemment l'équipe ne divulgue ni les valeur exactes, ni une version vectorisée des courbes...
C'est ainsi que Brian a publié ses observations, et c'est à partir de ce moment que les choses s'envolent. De nombreuses réponses lui parviennent, de la part de la communauté mais également des auteurs du papier original, qui maintiennent leur découverte et assurent ne pas avoir remarqué ces comportements. S'en suit une embrouille à base d'usurpation d'adresse mail, dans laquelle une fausse conversation fabriquée de toute pièce par un mystérieux Wiles Lichter entre un autre scientifique et un auteur du papier qui, transférée à un troisième scientifique (c'est qu'il sont beaucoup dans ce sac de nœud !), lui demande de ne pas critiquer le papier original. Pire que les feux de l'amour, ces chercheurs ! Pour rajouter à la crème, un profil facebook du même nom a tenté de rentrer en relation avec ce pauvre Brian ; troll ou pas, impossible de le savoir puisque le compte a désormais été supprimé.

Il y a comme un bug sur cette technologie...
Bref, beaucoup de bruits pour un affaire des plus louches mais révélatrice des engouements sous-jacents à ces recherches à haut potentiel ; et par conséquent hautes attentes. Affaire à suivre de très près !
![]() | Un poil avant ?Le marché de la DRAM gonfle encore, mais quand même moins qu'avant ! | Un peu plus tard ...Live Twitch • Découverte de Monster Hunter: World... | ![]() |
| Â | |
| Â | |
| Â | |
| Â | |
| Â | |
| Â | |
| Â | |
| Â | |
| Â | |
| Â | |
| Â | |
| Â |